Официальное опубликование правовых актов
ОФИЦИАЛЬНОЕ ОПУБЛИКОВАНИЕ
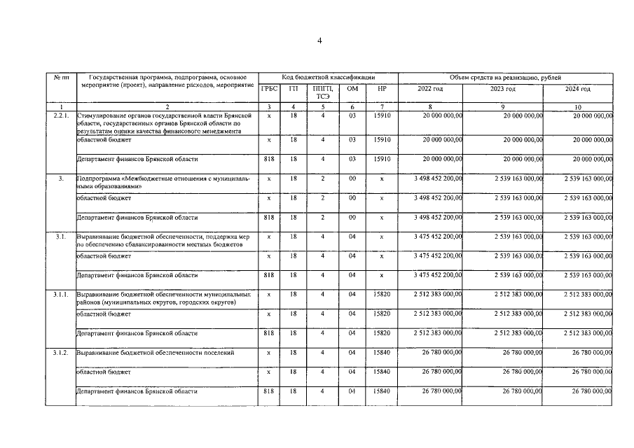
Постановление Правительства Брянской области от 28.03.2022 № 98-п
"О внесении изменений в государственную программу "Управление государственными финансами Брянской области"
Номер опубликования: 3200202204010013
Дата опубликования: 01.04.2022
Страница №17 из 19:
Увеличить