Официальное опубликование правовых актов
ОФИЦИАЛЬНОЕ ОПУБЛИКОВАНИЕ
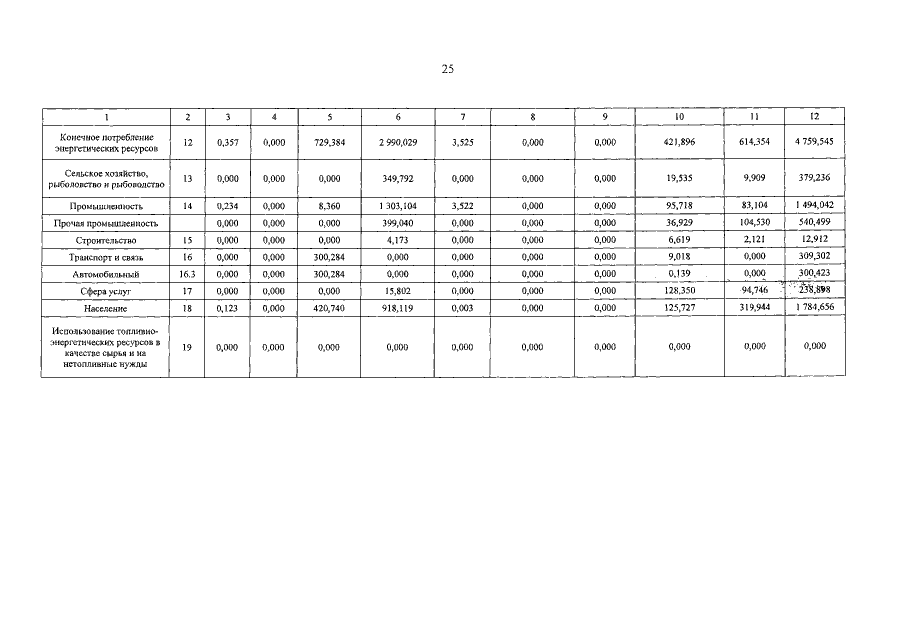
Распоряжение Губернатора Брянской области от 15.03.2022 № 181-рг
"Об утверждении целевого (прогнозного) топливно-энергетического баланса Брянской области на 2022 - 2030 годы"
Номер опубликования: 3200202203210004
Дата опубликования: 21.03.2022
Страница №26 из 40:
Увеличить