Официальное опубликование правовых актов
ОФИЦИАЛЬНОЕ ОПУБЛИКОВАНИЕ
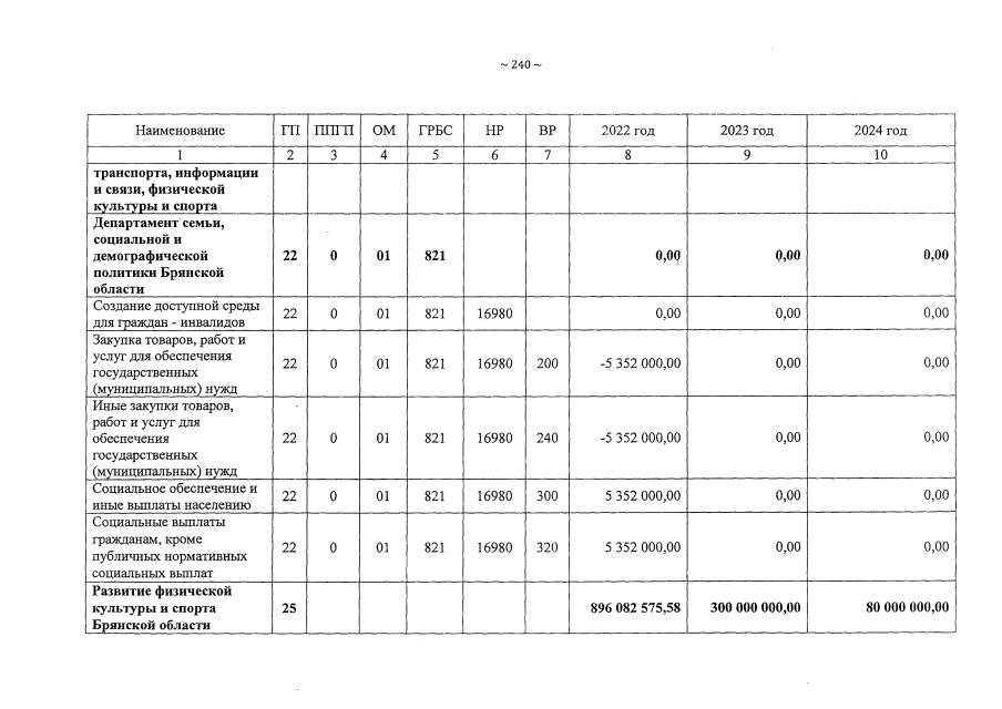
Закон Брянской области от 03.03.2022 № 16-З
"О внесении изменений в Закон Брянской области "Об областном бюджете на 2022 год и на плановый период 2023 и 2024 годов"
Номер опубликования: 3200202203030001
Дата опубликования: 03.03.2022
Страница №240 из 318:
Увеличить