Официальное опубликование правовых актов
ОФИЦИАЛЬНОЕ ОПУБЛИКОВАНИЕ
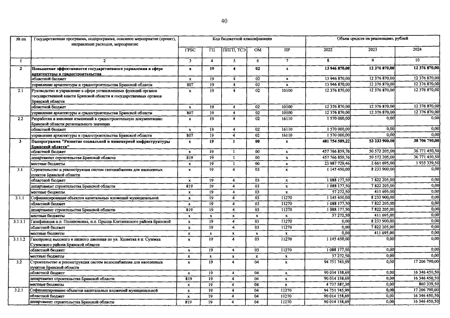
Постановление Правительства Брянской области от 29.12.2021 № 666-п
"О внесении изменений в государственную программу "Обеспечение реализации государственных полномочий в области строительства, архитектуры и развитие дорожного хозяйства Брянской области"
Номер опубликования: 3200202201040025
Дата опубликования: 04.01.2022
Страница №42 из 169:
Увеличить