Официальное опубликование правовых актов
ОФИЦИАЛЬНОЕ ОПУБЛИКОВАНИЕ
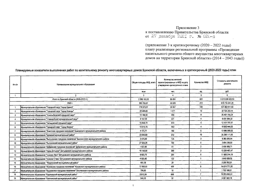
Постановление Правительства Брянской области от 27.12.2021 № 628-п
"О внесении изменений в краткосрочный (2020 -2022 годы) план реализации региональной программы "Проведение капитального ремонта общего имущества многоквартирных домов на территории Брянской области" (2014 - 2043 годы)"
Номер опубликования: 3200202112300022
Дата опубликования: 30.12.2021
Страница №41 из 44:
Увеличить