Официальное опубликование правовых актов
ОФИЦИАЛЬНОЕ ОПУБЛИКОВАНИЕ
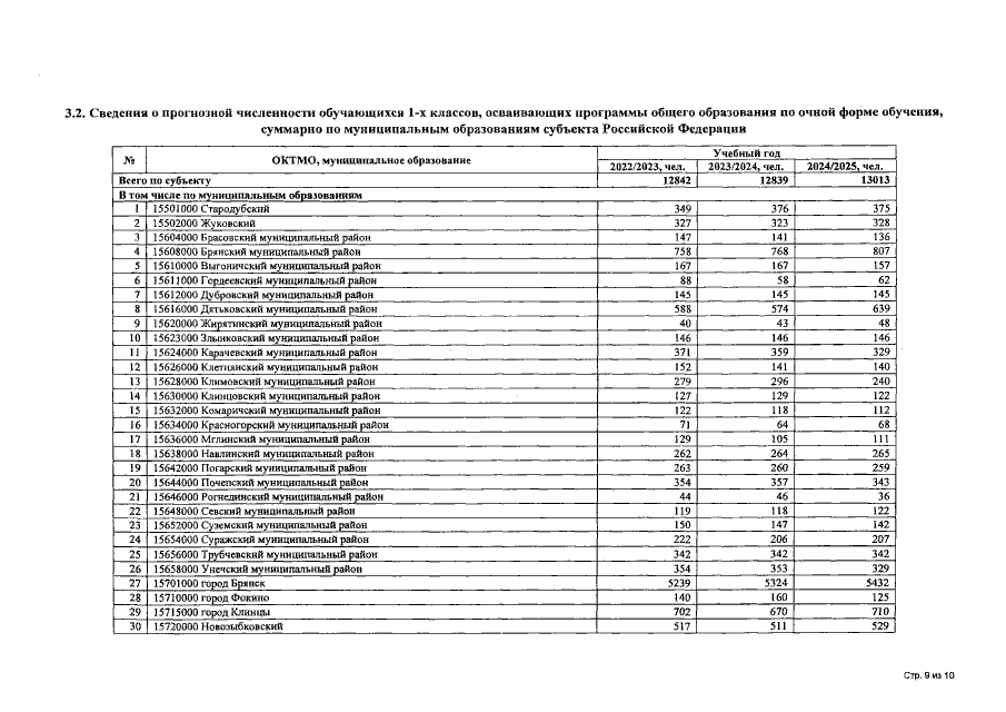
Распоряжение Правительства Брянской области от 27.12.2021 № 209-рп
"Об утверждении паспорта системы общего образования Брянской области (инфраструктурная часть)"
Номер опубликования: 3200202112300012
Дата опубликования: 30.12.2021
Страница №10 из 11:
Увеличить