Официальное опубликование правовых актов
ОФИЦИАЛЬНОЕ ОПУБЛИКОВАНИЕ
Распоряжение Губернатора Брянской области от 27.12.2021 № 1179-рг
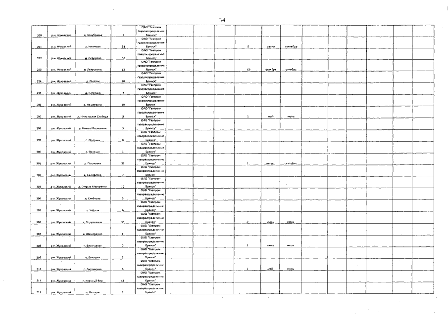
"Об утверждении региональной программы газификации жилищно-коммунального хозяйства, промышленных и иных организаций Брянской области на 2022 - 2031 годы"
Номер опубликования: 3200202112290003
Дата опубликования: 29.12.2021
Страница №35 из 138:
Увеличить