Официальное опубликование правовых актов
ОФИЦИАЛЬНОЕ ОПУБЛИКОВАНИЕ
Постановление Правительства Брянской области от 20.12.2021 № 570-п
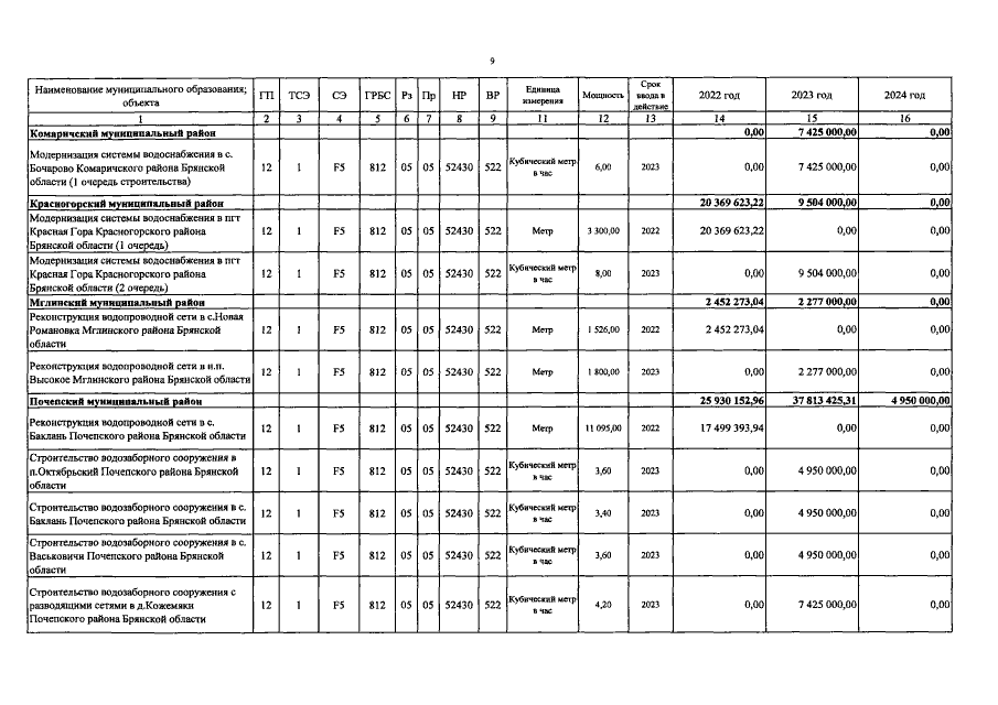
"Об утверждении перечня объектов бюджетных инвестиций государственной собственности региональной адресной инвестиционной программы на 2022 — 2024 годы, перечня объектов капитальных вложений муниципальной собственности региональной адресной инвестиционной программы на 2022 — 2024 годы, перечня объектов недвижимого имущества региональной адресной инвестиционной программы на 2022 — 2024 годы, приобретаемого в государственную собственность Брянской области, и перечня объектов недвижимого имущества региональной адресной инвестиционной программы на 2022 — 2024 годы, приобретаемого в муниципальную собственность Брянской области"
Номер опубликования: 3200202112230015
Дата опубликования: 23.12.2021
Страница №26 из 60:
Увеличить