Официальное опубликование правовых актов
ОФИЦИАЛЬНОЕ ОПУБЛИКОВАНИЕ
Постановление Правительства Брянской области от 13.12.2021 № 545-п
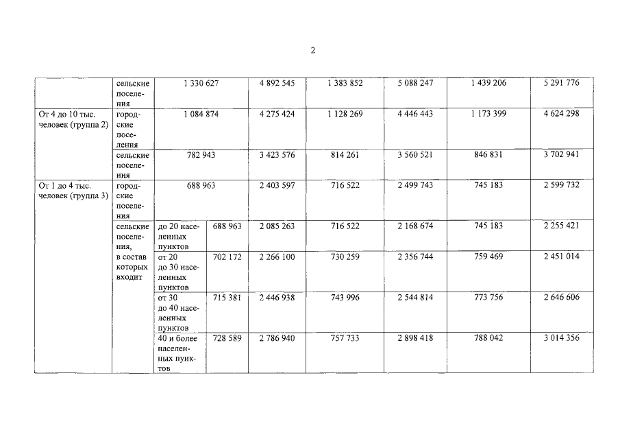
"Об утверждении нормативов формирования в 2022 году и плановом периоде 2023 и 2024 годов расходов на оплату труда депутатов, выборных должностных лиц местного самоуправления, осуществляющих свои полномочия на постоянной основе, муниципальных служащих и содержание органов местного самоуправления муниципальных образований Брянской области"
Номер опубликования: 3200202112160001
Дата опубликования: 16.12.2021
Страница №7 из 8:
Увеличить