Официальное опубликование правовых актов
ОФИЦИАЛЬНОЕ ОПУБЛИКОВАНИЕ
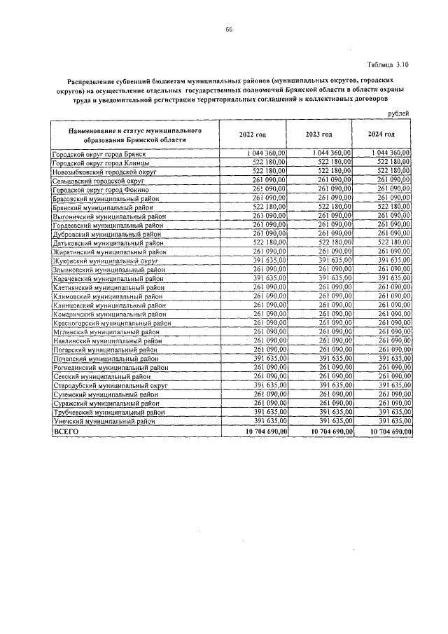
Закон Брянской области от 13.12.2021 № 105-З
"Об областном бюджете на 2022 год и на плановый период 2023 и 2024 годов"
Номер опубликования: 3200202112130001
Дата опубликования: 13.12.2021
Страница №386 из 399:
Увеличить