Официальное опубликование правовых актов
ОФИЦИАЛЬНОЕ ОПУБЛИКОВАНИЕ
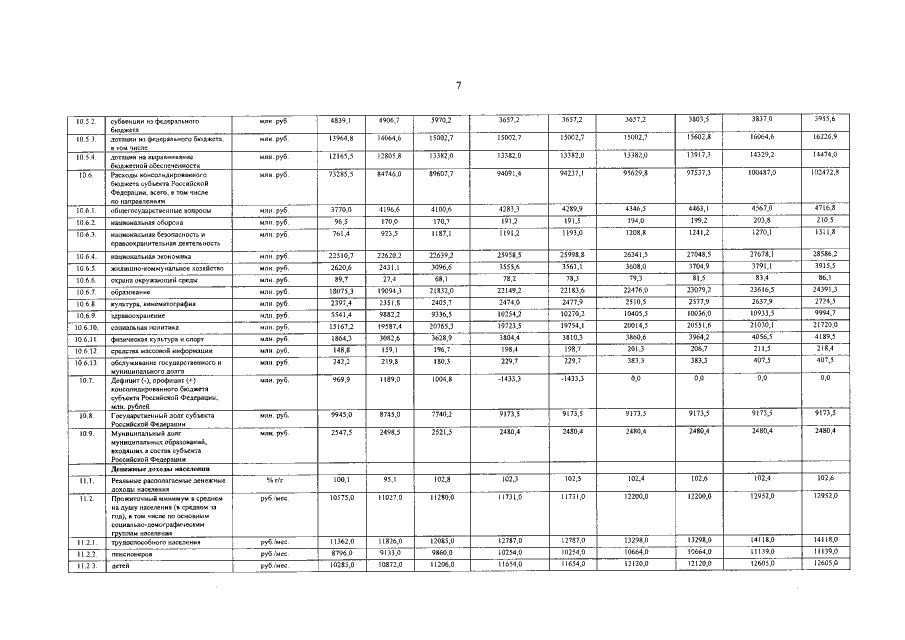
Распоряжение Правительства Брянской области от 29.10.2021 № 166-рп
"Об одобрении прогноза социально-экономического развития Брянской области на 2022 год и плановый период 2023 и 2024 годов"
Номер опубликования: 3200202111030001
Дата опубликования: 03.11.2021
Страница №8 из 11:
Увеличить