Официальное опубликование правовых актов
ОФИЦИАЛЬНОЕ ОПУБЛИКОВАНИЕ
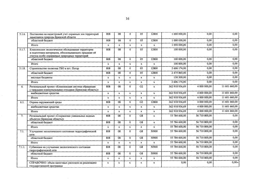
Постановление Правительства Брянской области от 11.10.2021 № 419-п
"О внесении изменений в государственную программу "Охрана окружающей среды, воспроизводство и использование природных ресурсов Брянской области"
Номер опубликования: 3200202110130001
Дата опубликования: 13.10.2021
Страница №16 из 30:
Увеличить