Официальное опубликование правовых актов
ОФИЦИАЛЬНОЕ ОПУБЛИКОВАНИЕ
Постановление Правительства Брянской области от 20.09.2021 № 390-п
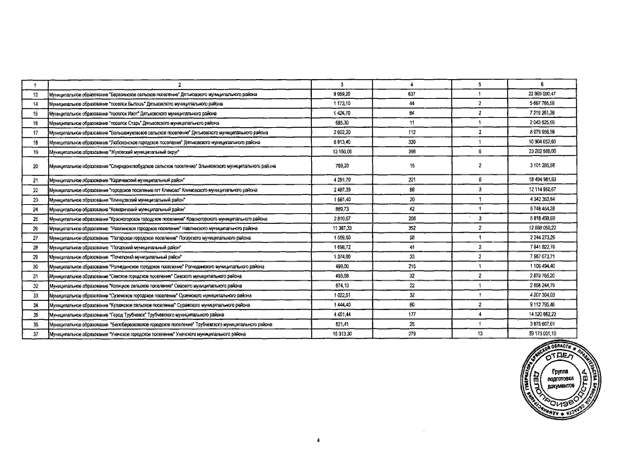
"О внесении изменений в краткосрочный (2020 - 2022 годы) план реализации региональной программы "Проведение капитального ремонта общего имущества многоквартирных домов на территории Брянской области" (2014 - 2043 годы)"
Номер опубликования: 3200202109230007
Дата опубликования: 23.09.2021
Страница №44 из 44:
Увеличить