Официальное опубликование правовых актов
ОФИЦИАЛЬНОЕ ОПУБЛИКОВАНИЕ
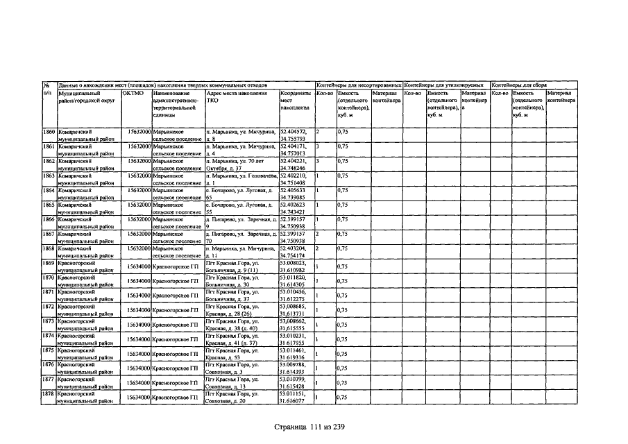
Постановление Правительства Брянской области от 19.08.2021 № 338-п
"О внесении изменений в постановление Правительства Брянской области от 19 декабря 2016 года № 642-п "Об утверждении территориальной схемы обращения с отходами Брянской области"
Номер опубликования: 3200202108200001
Дата опубликования: 20.08.2021
Страница №128 из 672:
Увеличить