Официальное опубликование правовых актов
ОФИЦИАЛЬНОЕ ОПУБЛИКОВАНИЕ
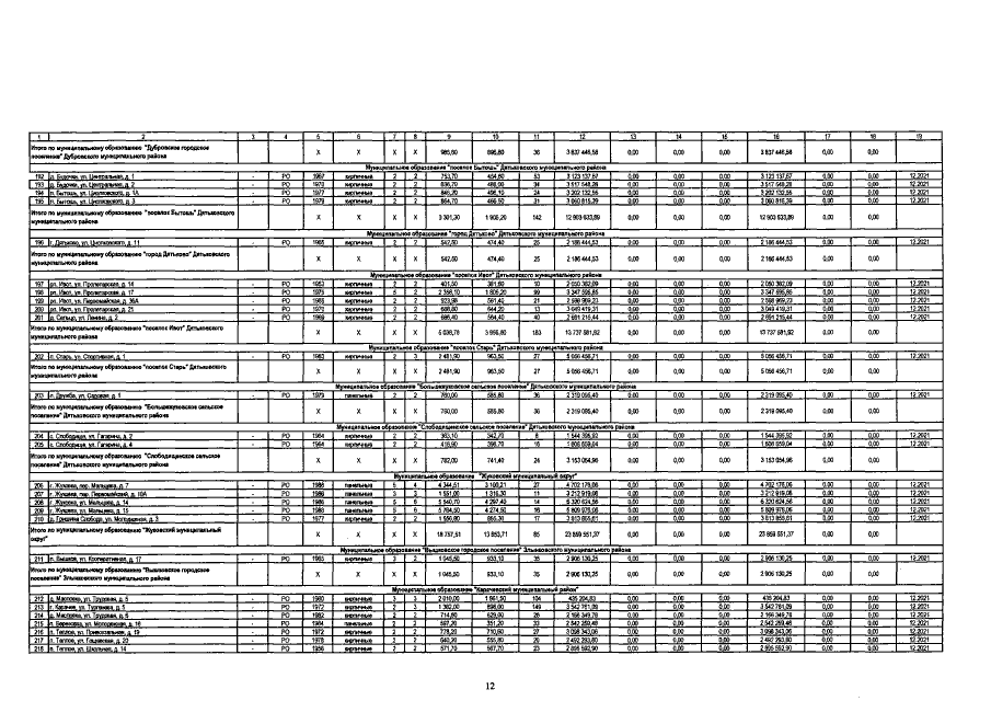
Постановление Правительства Брянской области от 16.08.2021 № 331-п
"О внесении изменений в краткосрочный (2020 — 2022 годы) план реализации региональной программы "Проведение капитального ремонта общего имущества многоквартирных домов на территории Брянской области" (2014 — 2043 годы)"
Номер опубликования: 3200202108190006
Дата опубликования: 19.08.2021
Страница №14 из 44:
Увеличить