Официальное опубликование правовых актов
ОФИЦИАЛЬНОЕ ОПУБЛИКОВАНИЕ
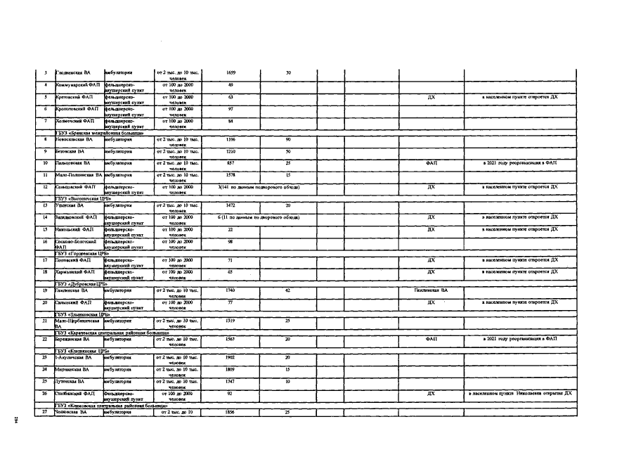
Постановление Правительства Брянской области от 26.07.2021 № 285-п
"О внесении изменений в региональную программу "Модернизация первичного звена здравоохранения Брянской области"
Номер опубликования: 3200202107290007
Дата опубликования: 29.07.2021
Страница №255 из 810:
Увеличить