Официальное опубликование правовых актов
ОФИЦИАЛЬНОЕ ОПУБЛИКОВАНИЕ
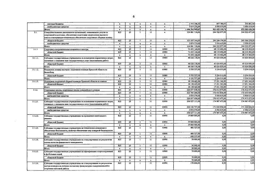
Постановление Правительства Брянской области от 28.07.2021 № 288-п
"О внесении изменений в государственную программу "Развитие физической культуры и спорта Брянской области"
Номер опубликования: 3200202107290004
Дата опубликования: 29.07.2021
Страница №25 из 53:
Увеличить