Официальное опубликование правовых актов
ОФИЦИАЛЬНОЕ ОПУБЛИКОВАНИЕ
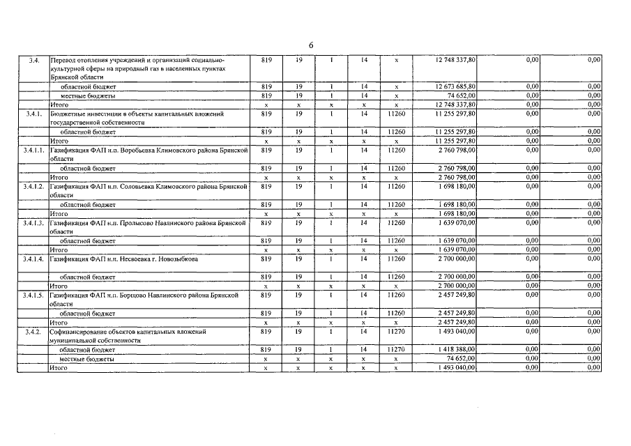
Постановление Правительства Брянской области от 28.07.2021 № 286-п
"О внесении изменений в государственную программу "Обеспечение реализации государственных полномочий в области строительства, архитектуры и развитие дорожного хозяйства Брянской области" и о признании утратившим силу постановления Правительства Брянской области от 10 июля 2017 года № 307-п"
Номер опубликования: 3200202107290003
Дата опубликования: 29.07.2021
Страница №42 из 67:
Увеличить