Официальное опубликование правовых актов
ОФИЦИАЛЬНОЕ ОПУБЛИКОВАНИЕ
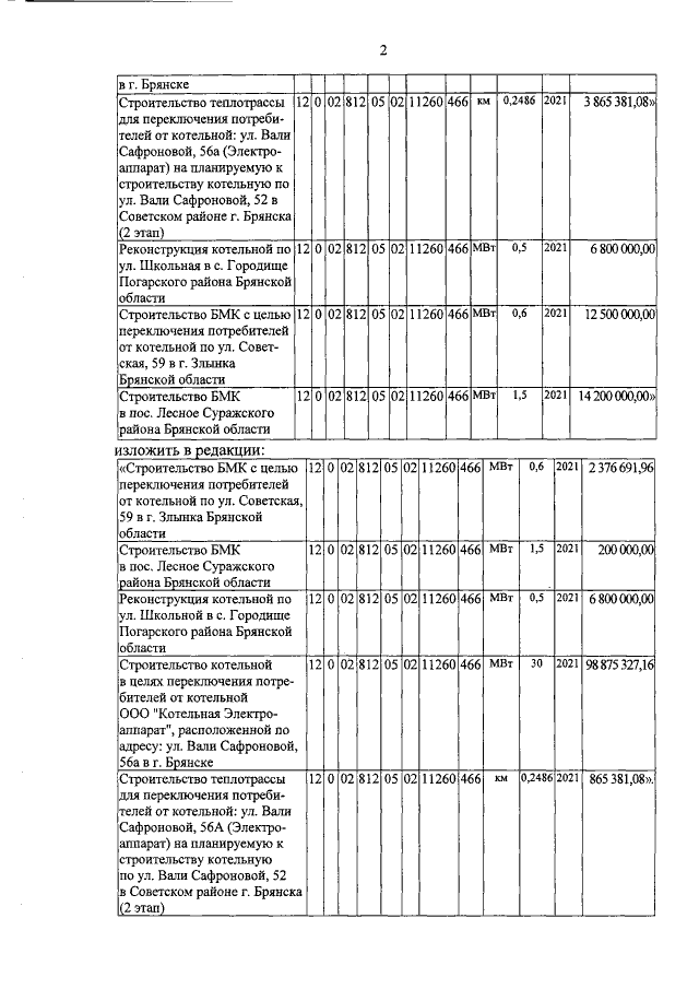
Постановление Правительства Брянской области от 27.04.2021 № 153-п
"О внесении изменений в постановление Правительства Брянской области от 16 декабря 2020 года № 612-п"
Номер опубликования: 3200202104280004
Дата опубликования: 28.04.2021
Страница №2 из 16:
Увеличить