Официальное опубликование правовых актов
ОФИЦИАЛЬНОЕ ОПУБЛИКОВАНИЕ
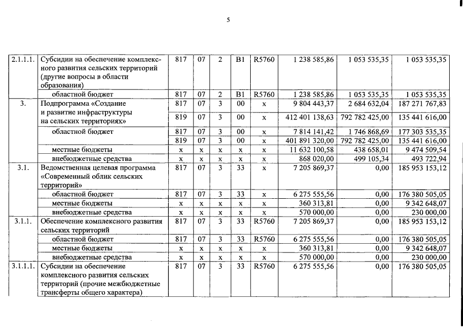
Постановление Правительства Брянской области от 29.03.2021 № 110-п
"О внесении изменений в государственную программу "Комплексное развитие сельских территорий Брянской области"
Номер опубликования: 3200202103310002
Дата опубликования: 31.03.2021
Страница №5 из 27:
Увеличить