Официальное опубликование правовых актов
ОФИЦИАЛЬНОЕ ОПУБЛИКОВАНИЕ
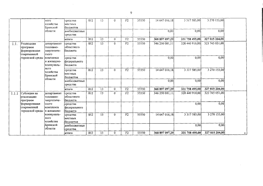
Постановление Правительства Брянской области от 24.12.2020 № 662-п
"О внесении изменений в государственную программу "Формирование современной городской среды Брянской области"
Номер опубликования: 3200202012300002
Дата опубликования: 30.12.2020
Страница №9 из 10:
Увеличить