Официальное опубликование правовых актов
ОФИЦИАЛЬНОЕ ОПУБЛИКОВАНИЕ
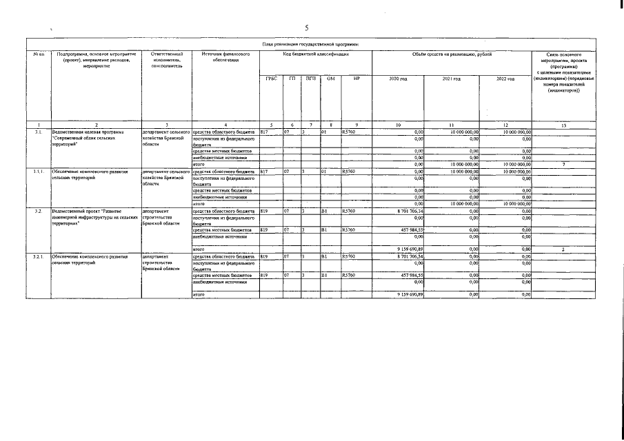
Постановление Правительства Брянской области от 21.12.2020 № 628-п
"О внесении изменений в государственную программу "Комплексное развитие сельских территорий Брянской области"
Номер опубликования: 3200202012240003
Дата опубликования: 24.12.2020
Страница №9 из 13:
Увеличить