Официальное опубликование правовых актов
ОФИЦИАЛЬНОЕ ОПУБЛИКОВАНИЕ
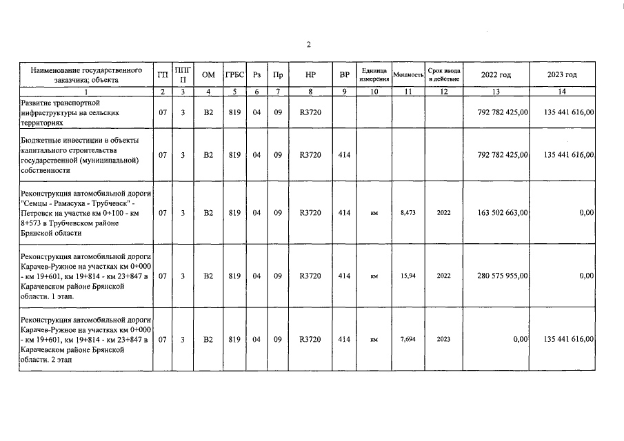
Постановление Правительства Брянской области от 16.12.2020 № 612-п
"Об утверждении перечней объектов бюджетных инвестиций государственной собственности региональной адресной инвестиционной программы на 2021 год и на плановый период 2022 - 2023 годов, перечней объектов капитальных вложений муниципальной собственности региональной адресной инвестиционной программы на 2021 год и на плановый период 2022 - 2023 годов и перечня объектов недвижимого имущества региональной адресной инвестиционной программы на 2021 год и на плановый период 2022 - 2023 годов, приобретаемого в государственную собственность Брянской области"
Номер опубликования: 3200202012180011
Дата опубликования: 18.12.2020
Страница №42 из 81:
Увеличить