Официальное опубликование правовых актов
ОФИЦИАЛЬНОЕ ОПУБЛИКОВАНИЕ
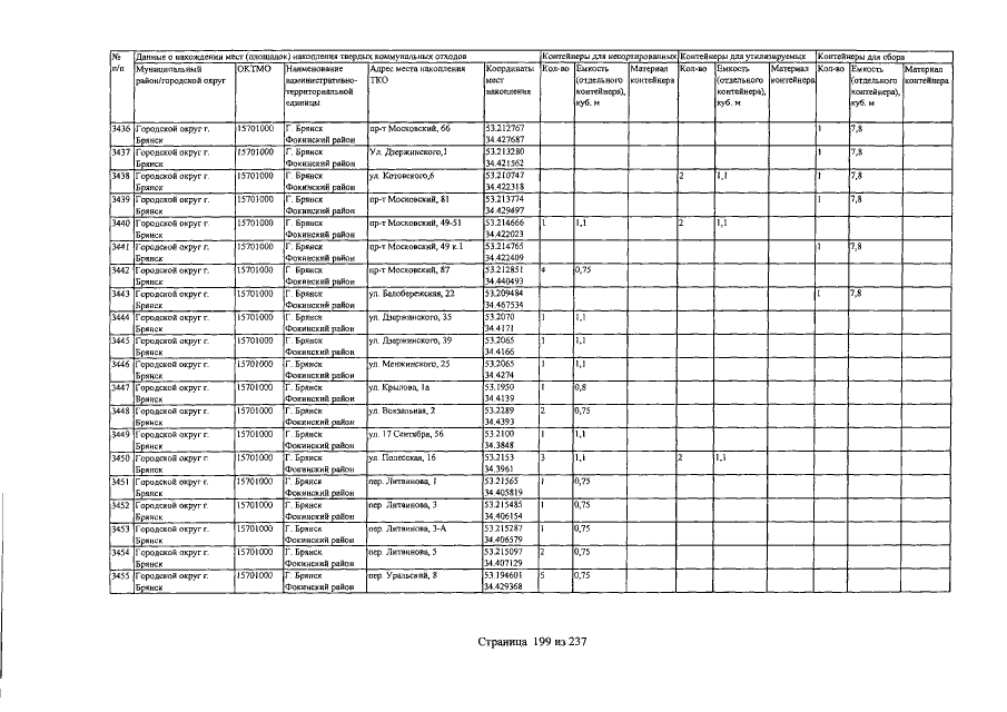
Постановление Правительства Брянской области от 16.12.2020 № 608-п
"О внесении изменений в постановление Правительства Брянской области от 19 декабря 2016 года № 642-п "Об утверждении территориальной схемы обращения с отходами Брянской области"
Номер опубликования: 3200202012160011
Дата опубликования: 16.12.2020
Страница №277 из 415:
Увеличить