Официальное опубликование правовых актов
ОФИЦИАЛЬНОЕ ОПУБЛИКОВАНИЕ
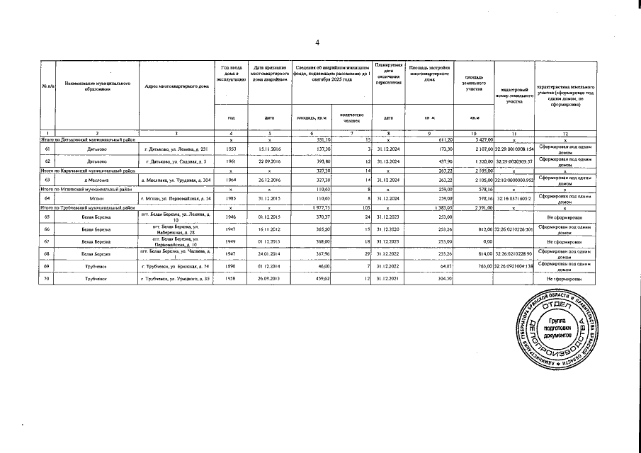
Постановление Правительства Брянской области от 07.12.2020 № 589-п
"О внесении изменений в региональную адресную программу "Переселение граждан из аварийного жилищного фонда на территории Брянской области" (2019 — 2024 годы)"
Номер опубликования: 3200202012100006
Дата опубликования: 10.12.2020
Страница №8 из 14:
Увеличить