Официальное опубликование правовых актов
ОФИЦИАЛЬНОЕ ОПУБЛИКОВАНИЕ
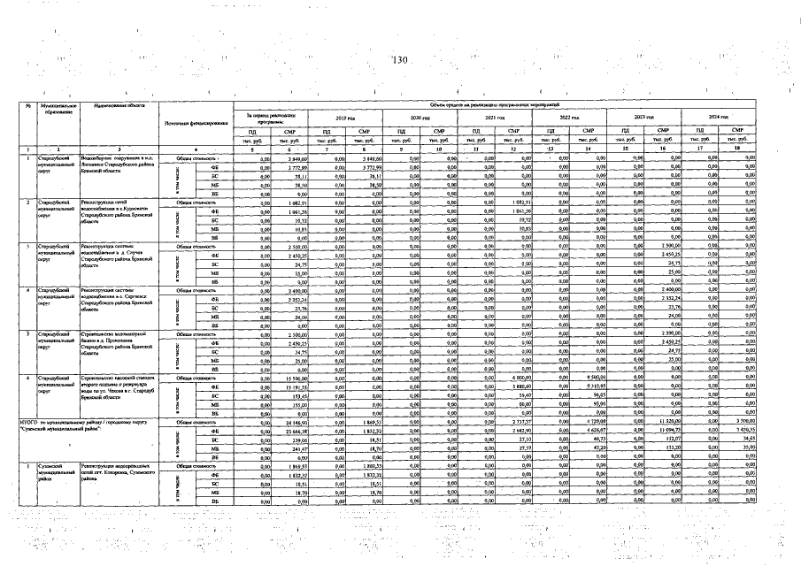
Постановление Правительства Брянской области от 16.11.2020 № 517-п
"О внесении изменений в государственную программу "Развитие топливно-энергетического комплекса и жилищно-коммунального хозяйства Брянской области"
Номер опубликования: 3200202011190014
Дата опубликования: 19.11.2020
Страница №130 из 232:
Увеличить