Официальное опубликование правовых актов
ОФИЦИАЛЬНОЕ ОПУБЛИКОВАНИЕ
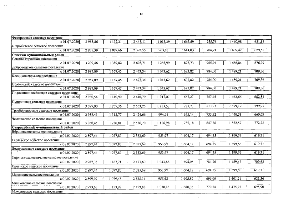
Постановление Правительства Брянской области от 28.09.2020 № 455-п
"О региональных стандартах стоимости жилищно-коммунальных услуг, используемых для расчета субсидий на оплату жилого помещения и коммунальных услуг"
Номер опубликования: 3200202009300022
Дата опубликования: 30.09.2020
Страница №47 из 49:
Увеличить