Официальное опубликование правовых актов
ОФИЦИАЛЬНОЕ ОПУБЛИКОВАНИЕ
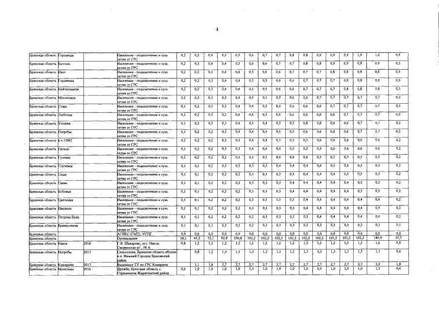
Распоряжение Губернатора Брянской области от 29.09.2020 № 730-рг
"О внесении изменений в региональную программу газификации Брянской области на 2017 - 2021 годы"
Номер опубликования: 3200202009300013
Дата опубликования: 30.09.2020
Страница №41 из 47:
Увеличить