Официальное опубликование правовых актов
ОФИЦИАЛЬНОЕ ОПУБЛИКОВАНИЕ
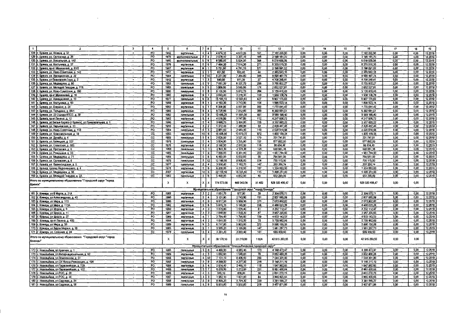
Постановление Правительства Брянской области от 17.08.2020 № 371-п
"Об итогах выполнения краткосрочного (2017 - 2019 годы) плана реализации региональной программы "Проведение капитального ремонта общего имущества многоквартирных домов на территории Брянской области" (2014 - 2043 годы)"
Номер опубликования: 3200202008190012
Дата опубликования: 19.08.2020
Страница №33 из 53:
Увеличить