Официальное опубликование правовых актов
ОФИЦИАЛЬНОЕ ОПУБЛИКОВАНИЕ
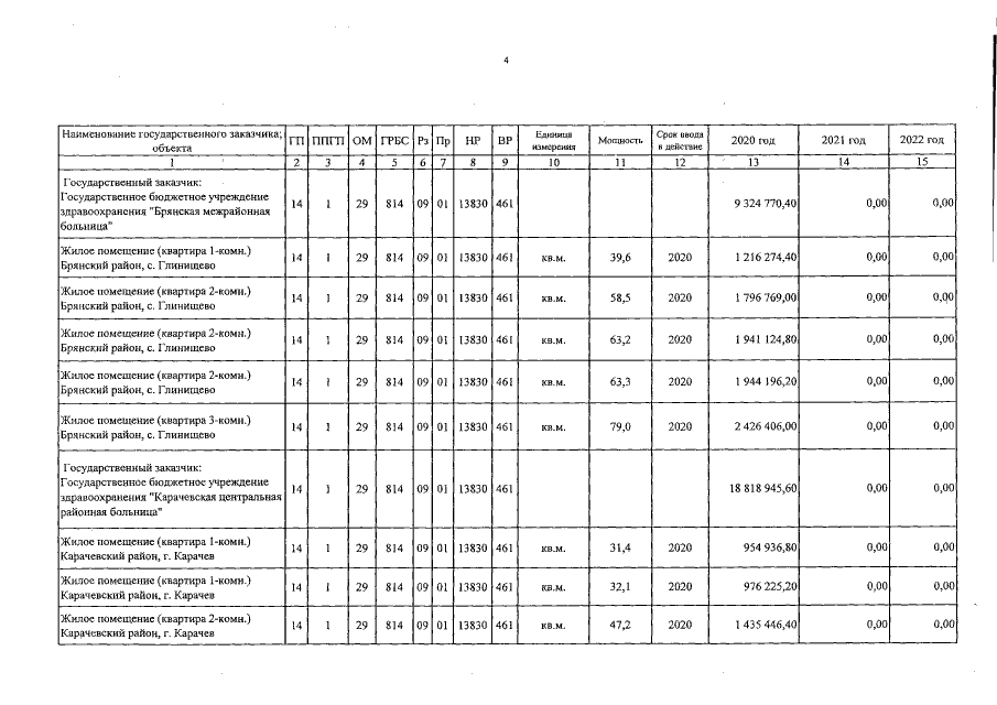
Постановление Правительства Брянской области от 07.08.2020 № 344-п
"О внесении изменений в постановление Правительства Брянской области от 30 декабря 2019 года № 72З-п"
Номер опубликования: 3200202008100005
Дата опубликования: 10.08.2020
Страница №30 из 36:
Увеличить