Официальное опубликование правовых актов
ОФИЦИАЛЬНОЕ ОПУБЛИКОВАНИЕ
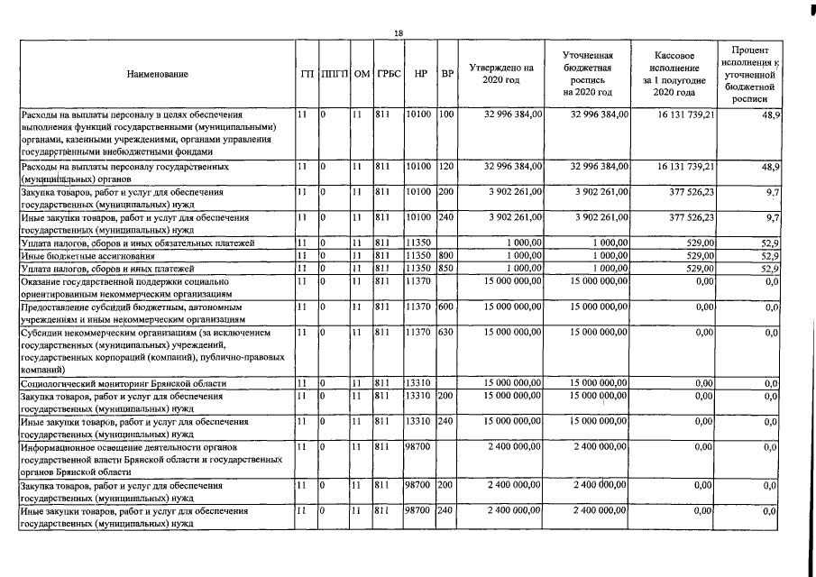
Постановление Правительства Брянской области от 03.08.2020 № 328-п
"Об утверждении отчета об исполнении областного бюджета за первое полугодие 2020 года"
Номер опубликования: 3200202008050002
Дата опубликования: 05.08.2020
Страница №183 из 301:
Увеличить