Официальное опубликование правовых актов
ОФИЦИАЛЬНОЕ ОПУБЛИКОВАНИЕ
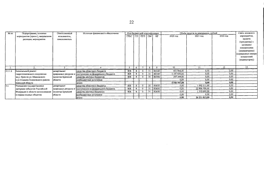
Постановление Правительства Брянской области от 29.06.2020 № 279-п
"О внесении изменений в государственную программу "Охрана окружающей среды, воспроизводство и использование природных ресурсов Брянской области"
Номер опубликования: 3200202006300001
Дата опубликования: 30.06.2020
Страница №22 из 29:
Увеличить