Официальное опубликование правовых актов
ОФИЦИАЛЬНОЕ ОПУБЛИКОВАНИЕ
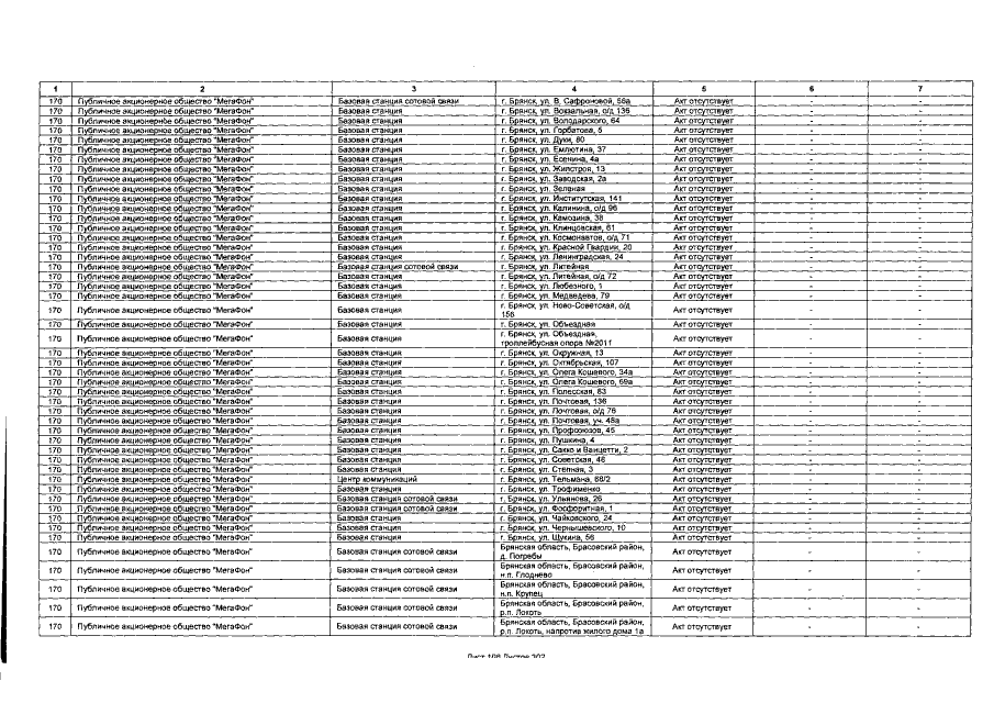
Распоряжение Губернатора Брянской области от 23.06.2020 № 384-рг
"Об утверждении перечня потребителей электрической энергии (мощности), ограничение режима потребления электрической энергии которых может привести к экономическим, экологическим, социальным последствиям на территории Брянской области"
Номер опубликования: 3200202006230002
Дата опубликования: 23.06.2020
Страница №107 из 303:
Увеличить