Официальное опубликование правовых актов
ОФИЦИАЛЬНОЕ ОПУБЛИКОВАНИЕ
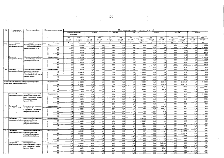
Постановление Правительства Брянской области от 29.05.2020 № 237-п
"О внесении изменений в государственную программу "Развитие топливно-энергетического комплекса и жилищно-коммунального хозяйства Брянской области"
Номер опубликования: 3200202006090002
Дата опубликования: 09.06.2020
Страница №170 из 304:
Увеличить