Официальное опубликование правовых актов
ОФИЦИАЛЬНОЕ ОПУБЛИКОВАНИЕ
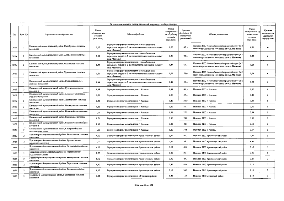
Постановление Правительства Брянской области от 25.05.2020 № 224-п
"О внесении изменений в постановление Правительства Брянской области от 19 декабря 2016 года № 642-п "Об утверждении территориальной схемы обращения с отходами, в том числе с твердыми коммунальными отходами, на территории Брянской области"
Номер опубликования: 3200202005250001
Дата опубликования: 25.05.2020
Страница №998 из 1050:
Увеличить