Официальное опубликование правовых актов
ОФИЦИАЛЬНОЕ ОПУБЛИКОВАНИЕ
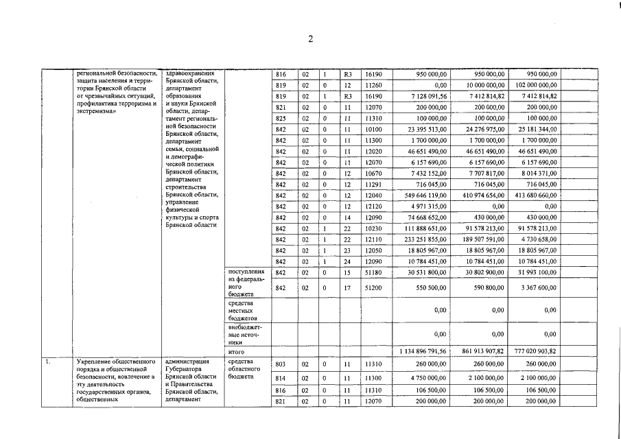
Постановление Правительства Брянской области от 18.05.2020 № 189-п
"О внесении изменений в государственную программу "Профилактика правонарушений и противодействие преступности на территории Брянской области, содействие реализации полномочий в сфере региональной безопасности, защита населения и территории Брянской области от чрезвычайных ситуаций, профилактика терроризма и экстремизма"
Номер опубликования: 3200202005220002
Дата опубликования: 22.05.2020
Страница №21 из 50:
Увеличить