Официальное опубликование правовых актов
ОФИЦИАЛЬНОЕ ОПУБЛИКОВАНИЕ
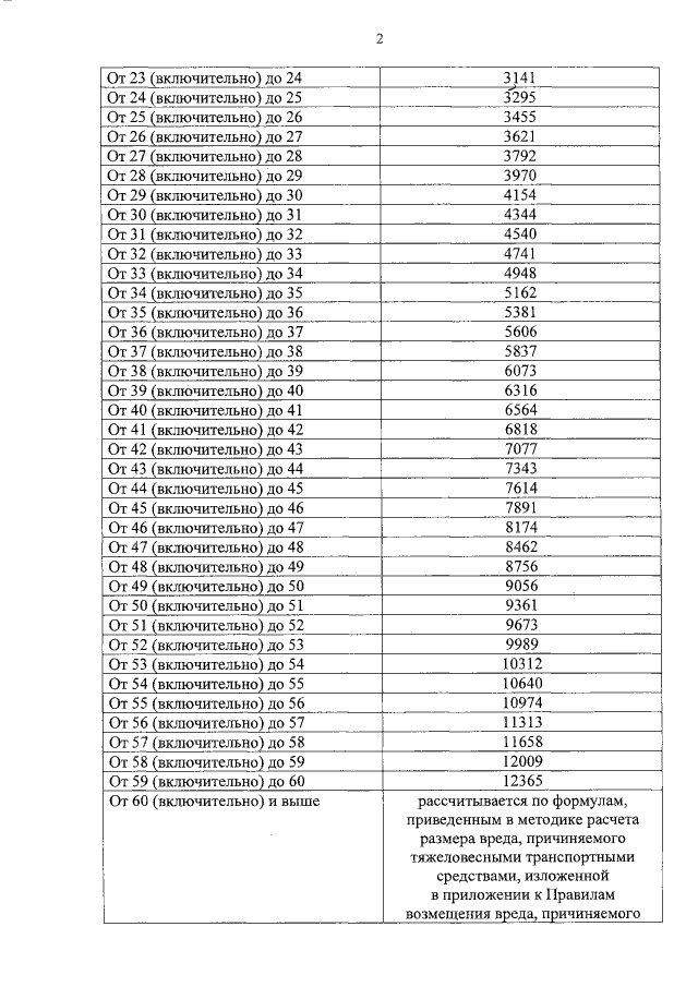
Постановление Правительства Брянской области от 18.05.2020 № 216-п
"Об определении размера вреда, причиняемого тяжеловесными транспортными средствами при движении по автомобильным дорогам регионального и межмуниципального значения Брянской области"
Номер опубликования: 3200202005210018
Дата опубликования: 21.05.2020
Страница №4 из 8:
Увеличить