Официальное опубликование правовых актов
ОФИЦИАЛЬНОЕ ОПУБЛИКОВАНИЕ
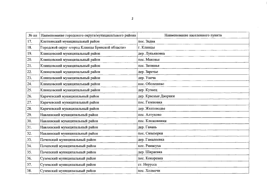
Постановление Правительства Брянской области от 30.03.2020 № 128-п
"Об установлении начала пожароопасного сезона 2020 года на территории Брянской области, утверждении мер по усилению пожарной безопасности на территории Брянской области в пожароопасный сезон 2020 года и перечней населенных пунктов, садоводческих и огороднических некоммерческих товариществ, летних оздоровительных лагерей и санаториев, расположенных на территории Брянской области, подверженных угрозе лесных пожаров"
Номер опубликования: 3200202003310011
Дата опубликования: 31.03.2020
Страница №8 из 13:
Увеличить