Официальное опубликование правовых актов
ОФИЦИАЛЬНОЕ ОПУБЛИКОВАНИЕ
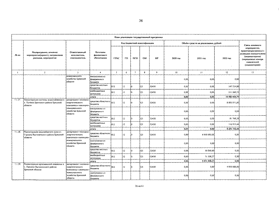
Постановление Правительства Брянской области от 23.03.2020 № 116-п
"О внесении изменений в государственную программу "Развитие топливно-энергетического комплекса и жилищно-коммунального хозяйства Брянской области"
Номер опубликования: 3200202003270007
Дата опубликования: 27.03.2020
Страница №36 из 176:
Увеличить