Официальное опубликование правовых актов
ОФИЦИАЛЬНОЕ ОПУБЛИКОВАНИЕ
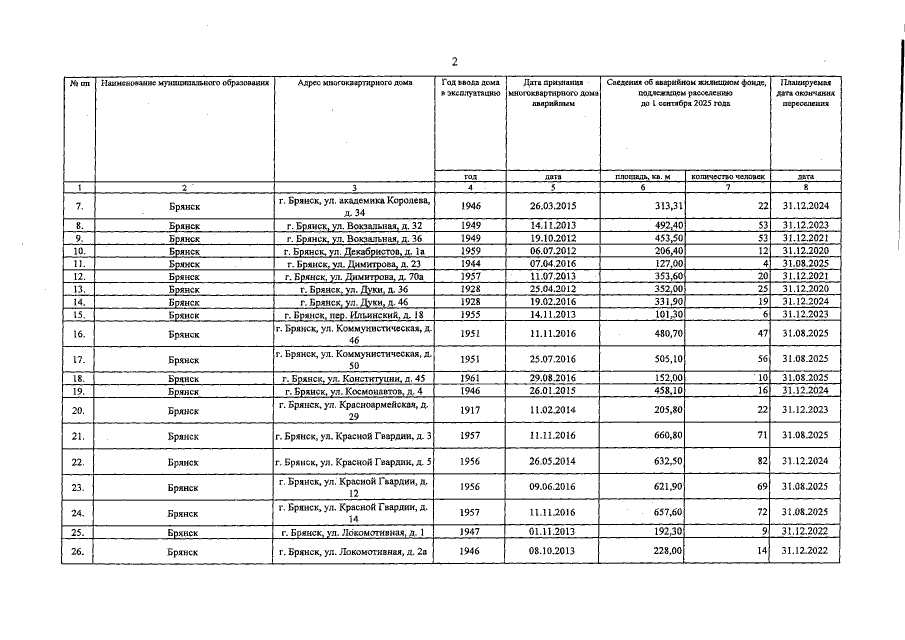
Постановление Правительства Брянской области от 16.03.2020 № 80-п
"О внесении изменений в региональную адресную программу "Переселение граждан из аварийного жилищного фонда на территории Брянской области" (2019 - 2024 годы)"
Номер опубликования: 3200202003180002
Дата опубликования: 18.03.2020
Страница №6 из 15:
Увеличить