Официальное опубликование правовых актов
ОФИЦИАЛЬНОЕ ОПУБЛИКОВАНИЕ
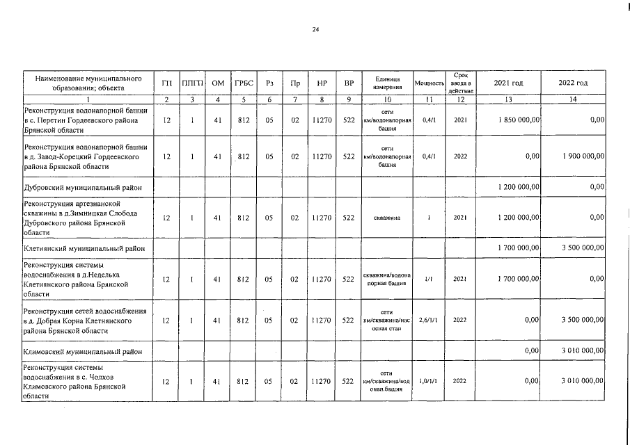
Постановление Правительства Брянской области от 30.12.2019 № 723-п
"Об утверждении перечней объектов бюджетных инвестиций государственной собственности региональной адресной инвестиционной программы на 2020 год и на плановый период 2021 - 2022 годов, перечней объектов капитальных вложений муниципальной собственности региональной адресной инвестиционной программы на 2020 год и на плановый период 2021 - 2022 годов и перечня объектов недвижимого имущества региональной адресной инвестиционной программы на 2020 год и на плановый период 2021 - 2022 годов, приобретаемого в государственную собственность Брянской области"
Номер опубликования: 3200201912300103
Дата опубликования: 30.12.2019
Страница №88 из 118:
Увеличить