Официальное опубликование правовых актов
ОФИЦИАЛЬНОЕ ОПУБЛИКОВАНИЕ
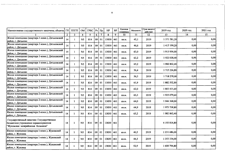
Постановление Правительства Брянской области от 25.12.2019 № 692-п
"О внесении изменений в постановление Правительства Брянской области от 31 декабря 2018 года № 763-п"
Номер опубликования: 3200201912300082
Дата опубликования: 30.12.2019
Страница №18 из 28:
Увеличить