Официальное опубликование правовых актов
ОФИЦИАЛЬНОЕ ОПУБЛИКОВАНИЕ
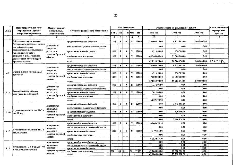
Постановление Правительства Брянской области от 26.12.2019 № 697-п
"О внесении изменений в государственную программу "Охрана окружающей среды, воспроизводство и использование природных ресурсов Брянской области"
Номер опубликования: 3200201912300080
Дата опубликования: 30.12.2019
Страница №25 из 51:
Увеличить