Официальное опубликование правовых актов
ОФИЦИАЛЬНОЕ ОПУБЛИКОВАНИЕ
Постановление Правительства Брянской области от 23.12.2019 № 639-п
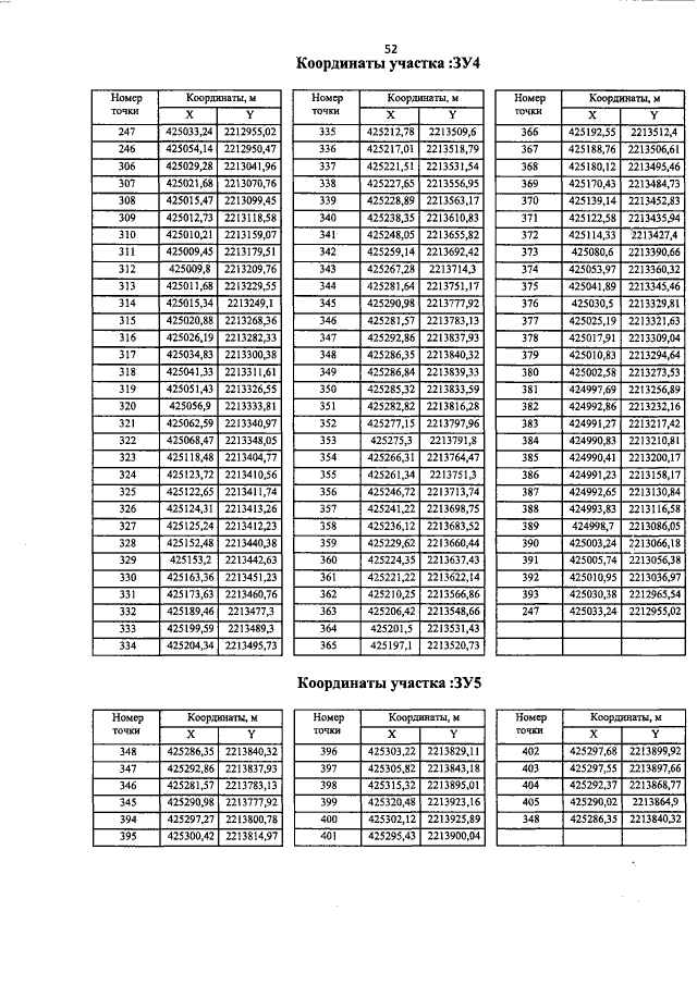
"Об утверждении основной части проекта планировки территории, содержащей проект межевания территории, для размещения линейного объекта на реконструкцию автомобильной дороги "Локоть - Кретово" - Турищево на участке км 17+560 - км 26+560 в Брасовском районе Брянской области"
Номер опубликования: 3200201912300058
Дата опубликования: 30.12.2019
Страница №53 из 75:
Увеличить