Официальное опубликование правовых актов
ОФИЦИАЛЬНОЕ ОПУБЛИКОВАНИЕ
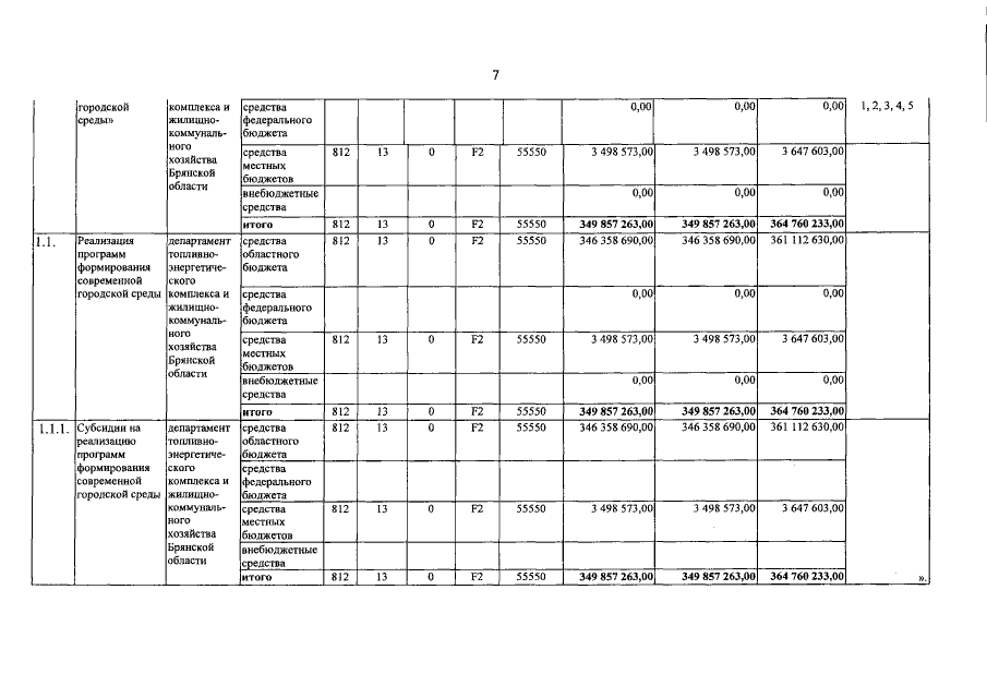
Постановление Правительства Брянской области от 26.12.2019 № 703-п
"О внесении изменений в государственную программу "Формирование современной городской среды Брянской области"
Номер опубликования: 3200201912300041
Дата опубликования: 30.12.2019
Страница №7 из 11:
Увеличить