Официальное опубликование правовых актов
ОФИЦИАЛЬНОЕ ОПУБЛИКОВАНИЕ
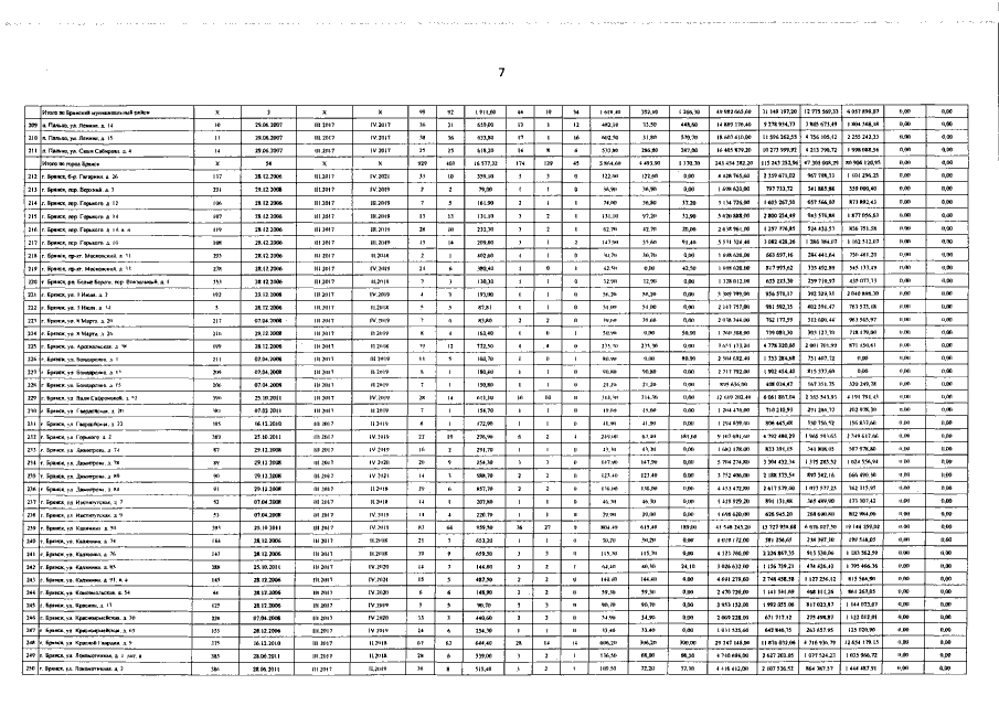
Постановление Правительства Брянской области от 23.12.2019 № 662-п
"Об итогах выполнения региональной адресной программы "Переселение граждан из аварийного жилищного фонда на территории Брянской области" (2013 - 2017 годы)"
Номер опубликования: 3200201912300014
Дата опубликования: 30.12.2019
Страница №11 из 23:
Увеличить