Официальное опубликование правовых актов
ОФИЦИАЛЬНОЕ ОПУБЛИКОВАНИЕ
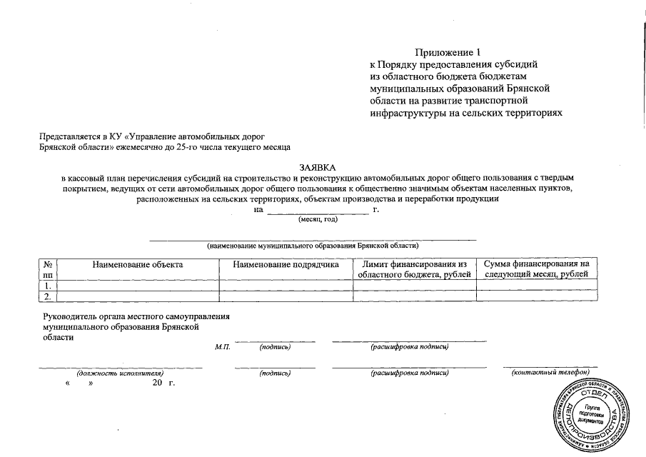
Постановление Правительства Брянской области от 23.12.2019 № 621-п
"Об утверждении государственной программы "Комплексное развитие сельских территорий Брянской области"
Номер опубликования: 3200201912230008
Дата опубликования: 23.12.2019
Страница №92 из 105:
Увеличить