Официальное опубликование правовых актов
ОФИЦИАЛЬНОЕ ОПУБЛИКОВАНИЕ
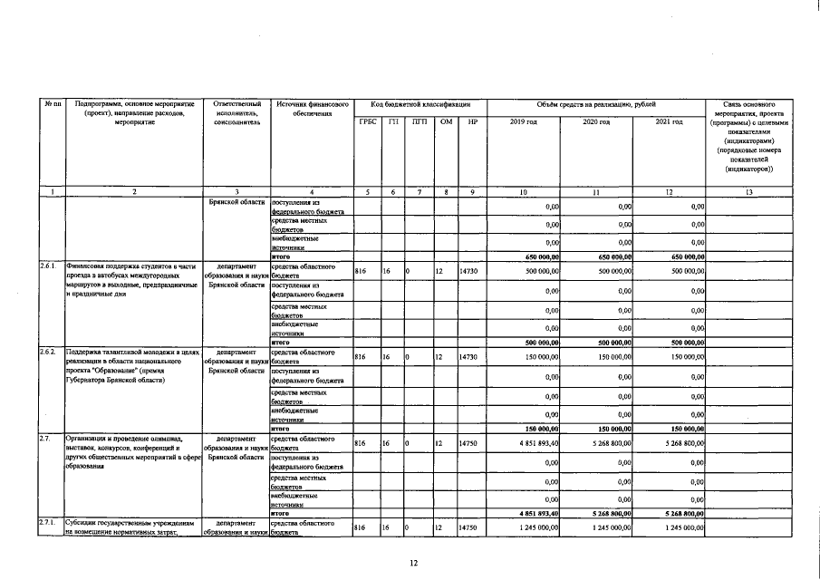
Постановление Правительства Брянской области от 13.12.2019 № 599-п
"О внесении изменений в государственную программу "Развитие образования и науки Брянской области"
Номер опубликования: 3200201912180002
Дата опубликования: 18.12.2019
Страница №15 из 51:
Увеличить