Официальное опубликование правовых актов
ОФИЦИАЛЬНОЕ ОПУБЛИКОВАНИЕ
Постановление Правительства Брянской области от 02.12.2019 № 575-п
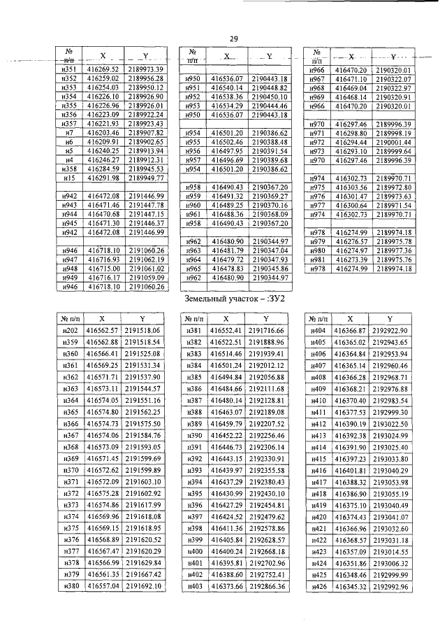
"Об утверждении документации по внесению изменений в проект планировки территории, содержащий проект межевания территории, на реконструкцию автомобильной дороги Локоть - Кретово на участке км 3+300 - км 11+150 в Брасовском районе Брянской области"
Номер опубликования: 3200201912060002
Дата опубликования: 06.12.2019
Страница №31 из 87:
Увеличить