Официальное опубликование правовых актов
ОФИЦИАЛЬНОЕ ОПУБЛИКОВАНИЕ
Постановление Правительства Брянской области от 02.12.2019 № 567-п
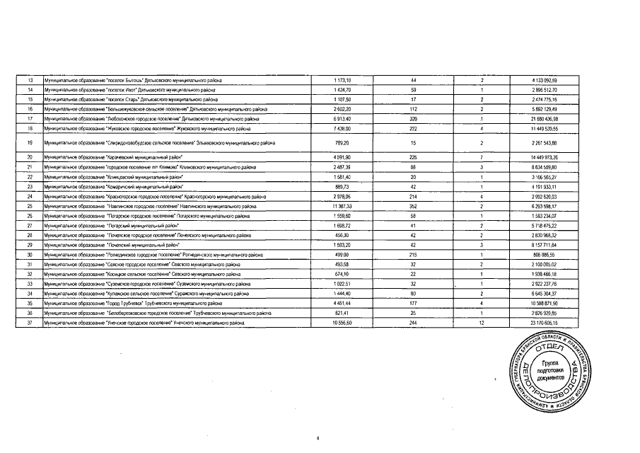
"О внесении изменений в краткосрочный (2020 - 2022 годы) план реализации региональной программы "Проведение капитального ремонта общего имущества многоквартирных домов на территории Брянской области" (2014 - 2043 годы)"
Номер опубликования: 3200201912060001
Дата опубликования: 06.12.2019
Страница №44 из 44:
Увеличить